
Optical electronic transitions in NP Monolayer. The weights are shown in red. ACS JPCC, 125, 12738 (2021)

GaAs monolayer electronic LDA, G0W0 and phononic band-structures. PRB 101, 155132 (2020)

Temperature dependent optical absorption spectra in monolayer hBN using the most accurate Bethe-Salpeter Equation theory. PRB 99, 165201 (2019)

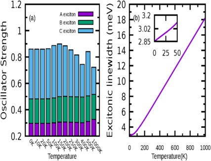
Temperature dependent oscillator strengths and excitonic line widths in WSe2 monolayer. PRB 98, 045143 (2018)